Les ef­forts ho­ri­zon­taux dans le di­men­sion­ne­ment des bâ­ti­ments en bois

Des mesures effectuées durant la construction d’un immeuble à ossature en bois laissent supposer que la rigidité admise lors du dimensionnement de ce type de bâtiment est parfois sous-estimée, ce qui peut avoir des conséquences importantes pour leur résistance aux efforts horizontaux

Date de publication
03-06-2015
Revision
21-10-2015

Au cours des dernières années, les bâtiments en bois à plusieurs étages ont gagné d’importantes parts de marché dans la réalisation de logements en Suisse, notamment en raison des facilités de montage (préfabrication, assemblages) et de la faculté du bois de répondre efficacement aux exigences relatives à la physique du bâtiment (isolation phonique, isolation thermique, protection incendie). Des efforts restent nécessaires pour optimiser le dimensionnement des structures en bois afin de concurrencer les autres modes de construction. Cela concerne notamment l’évaluation de la rigidité horizontale devant assurer la reprise des forces horizontales (vent et séisme).

La vérification parasismique commence par la détermination des valeurs de calcul de l’accélération à l’aide du spectre de dimensionnement de la norme SIA 261 [1], qui passe par l’estimation de la période de vibration fondamentale (respectivement de la fréquence propre). Pour ce faire, les normes et la littérature proposent diverses formules et méthodes, dont les principaux paramètres sont les rigidités horizontales de la structure porteuse et les masses du toit, des planchers, des parois et des autres charges permanentes [2]. Selon le sol de fondation, les valeurs maximales du spectre (les valeurs « plateau ») pour les périodes de vibration fondamentales se situent entre 0,15 et 0,6 seconde (classes de sol A, B, C, E) respectivement 0,8 seconde (classe de sol D). Moins rigides que les bâtiments en dur (béton armé, maçonnerie), les structures en ossature bois pourraient avoir des périodes de vibration fondamentale > 0,6 seconde conduisant à des valeurs d’accélération situées dans la branche descendante du spectre.

Le projet de recherche « Erdbebenbemessung von Holzbauten – Experimentelle Ermittlung der dynamischen Eigenschaften eines mehrgeschossigen Holzbaus » a offert une occasion unique de procéder à des essais de vibration durant la construction d’un immeuble de logements de trois étages avec des parois en ossature bois et des dalles mixtes bois-béton situé à Oberglatt dans le canton de Zurich (photo) [3]. Les objectifs de l’étude étaient de déterminer les fréquences propres de la structure soumise à diverses sollicitations horizontales et de mesurer son amortissement.

Ces valeurs devaient permettre d’estimer la rigidité effective d’une structure multi-étages en bois sollicitée horizontalement par une charge dynamique et de confronter le résultat à des modèles, de mieux comprendre l’influence des éléments de construction réputés « non porteurs », puis d’en tirer des conclusions pour améliorer la conception, la modélisation et le calcul de ce type de structures porteuses.

Structure et essais


Le bâtiment testé est un immeuble de trois étages dont la structure porteuse en bois a été réalisée au printemps 2013. A l’exception de son sous-sol en béton armé, la construction est en bois, avec des dalles mixtes en bois-béton (chapes en béton C25/30 sur bois lamellé), une dalle en bois lamellé en attique et une charpente de toiture recouverte de tuiles. Les parois externes, dont l’ossature est aussi en bois, sont revêtues de panneaux OSB 3 sur leur face intérieure et de stratifié à l’extérieur, à l’exception des parois rigidifiantes, dont le revêtement extérieur est aussi fait de panneaux OSB 3. Egalement réalisées en bois, les cloisons internes sont recouvertes de plaques en fibro- ou carton-plâtre. Les cloisons séparant les logements de la cage d’escalier sont composées de panneaux en bois massif multicouche assemblés en doubles parois. La cage d’ascenseur est constituée d’éléments en béton, acoustiquement découplés de la charpente bois et de la toiture.

Les essais ont été conduits entre avril et mai 2013 à différents stades de construction. Les premiers tests visaient à déterminer les caractéristiques dynamiques de la structure sur la base de sollicitations « naturelles » existantes (dues par exemple au vent ou aux véhicules passant à proximité). La phase suivante a vu la structure être sollicitée horizontalement dans ses deux directions principales par des vibrations aléatoires (à bande large et étroite) et des vibrations harmoniques, ceci à l’aide d’un dispositif spécifiques situé au deuxième étage (photo et plan 1 et 2). Les réactions de la structure ont été mesurées par des accéléromètres fixés aux planchers, dans les angles des étages supérieurs (photo). Des mesures de déformations ont été faites pour s’assurer que la construction ne soit pas endommagée par des déplacements différentiels excessifs.

L’examen a porté sur trois étapes de construction différentes, alors que le toit n’était pas encore recouvert de tuiles, la façade non réalisée et le revêtement des planchers mixtes bois-béton non posé.

Aux stades 1 et 2, les tirants d’ancrage des parois au rez-de-chaussée n’étaient pas installés, les planchers mixtes bois-béton étaient étayés sur toute leur surface et les plaques de carton-plâtre des cloisons intérieures n’étaient pas posées. Aucune huisserie, fenêtre ou porte-fenêtre n’étaient en place. Les parois devant assurer la rigidité horizontale étaient agrafées conformément à la statique d’exécution et la différence entre les deux stades résidait dans l’agrafage des parois n’assurant pas la rigidité horizontale : elles n’étaient qu’apposées au bâti dans le premier cas (distance d’agrafage de 500 mm), alors que leur agrafage complémentaire avait été effectué dans le deuxième (distance d’agrafage de 80 mm).

Au stade 3, les tirants d’ancrage au rez-de-chaussée étaient en place, les planchers mixtes bois-béton n’étaient plus étayés que sous l’excitateur, les huisseries, fenêtres ou portes-fenêtres étaient posées, tout comme la moitié des plaques de carton-plâtre. Les essais au stade 3 ont été effectués avec les fenêtres et les portes-fenêtres fermées.

Fréquences propres et modes vibration


Les matrices d’intercorrélation de cette figure montrent les trois valeurs principales correspondant aux modes de vibration du bâtiment pour des sollicitations transversale ou longitudinale. Elles ont été établies à partir des essais d’excitation aléatoire à large bande et les résultats correspondent au stade 1.

Avec des sollicitations transversales, deux modes de vibration propres (fréquences de 3,9 et 4,9 Hz) sont clairement visibles (figure). Un troisième mode de vibration propre semble exister à une fréquence d’env. 6,8 Hz (moins marqué, il est surtout visible pour 2). Lorsque les sollicitations sont longitudinales, la matrice affiche aussi deux pics bien distincts à 4,9 et 6,8 Hz, le second confirmant l’existence de la troisième vibration propre (figure). En revanche, si la première vibration propre observée transversalement ne se manifeste pas dans la première valeur (1), elle est néanmoins visible dans la deuxième (2). Les sollicitations transversales engendrent surtout les modes de vibration propres ayant des fréquences de 3,9 et 4,9 Hz, alors que les sollicitations longitudinales correspondent à des fréquences de 4,9 et 6,8 Hz.

Les modes de vibration propres sont décrits sur ces figures (1, 2, 3). Le premier mode est essentiellement transversal (rouge) et son amplitude croît avec la hauteur du bâtiment. Les deuxième et troisième modes sont une combinaison de vibrations longitudinale et de torsion : la composante de torsion semble légèrement dominer dans le deuxième mode, alors que la composante longitudinale est prépondérante dans le troisième (bleu). Aucune modification significative des modes de vibration n’a été constatée entre les trois stades de construction examinés. 

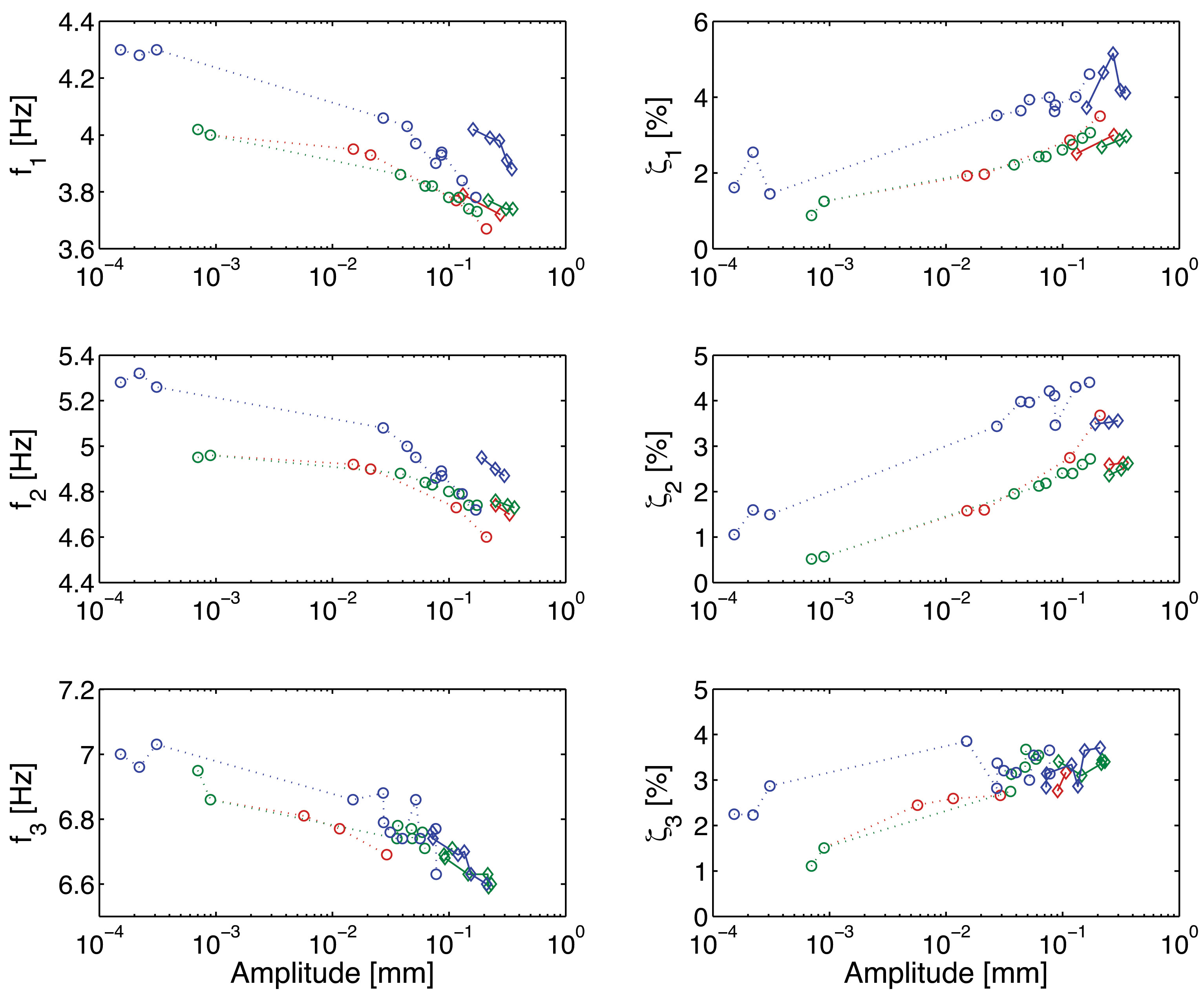
Cette figure illustre les modifications des fréquences propres et des amortissements selon l’amplitude des sollicitations. De manière générale, les fréquences propres diminuent avec l’accroissement de l’amplitude, alors que les amortissements augmentent. A titre d’exemple, au stade 1, la première vibration propre a une fréquence d’environ 4 Hz pour les amplitudes voisines de 10-3 mm, mais elle diminue à moins de 3,7 Hz aux amplitudes autour de 2/10 mm. Dans la même tranche d’amplitude, l’amortissement augmente d’environ 1 % pour atteindre 3,5 %.

Les valeurs recueillies pour les amplitudes autour de 10-3 mm proviennent de mesures effectuées sous sollicitations « naturelles ». Les résultats obtenus avec les sollicitations « naturelles » ou aléatoires (cercle sur les figures) ne concordent pas exactement avec ceux issus de ­sollicitations harmoniques (losange sur les figures), dont les fréquences propres sont un peu plus élevées et les amortissements un peu plus faibles.

Les fréquences propres du stade 3 sont supérieures à celles des stades 1 et 2, ce qui traduit bien l’augmentation de la rigidité du bâtiment. Par rapport aux stades 1 et 2, l’amortissement des vibrations horizontales du bâtiment s’accroît aussi au stade 3. Ce constat s’applique en particulier aux 1re et 2e modes de vibration, dont l’amortissement passe d’environ 3 % au stade 2 à quelque 4 % au stade 3.

Modélisations


Les fréquences et les modes de vibration propres ont aussi été déterminés à partir de modélisations. Un modèle d’oscillateur triple a d’abord été appliqué pour estimer des fréquences propres dans les deux directions principales du bâtiment. Trois modèles ont été considérés pour la structure : 

  •  Le modèle B qui correspond à la situation de dimensionnement prescrite par les normes SIA.
  • Le modèle V1 qui correspond à la situation concrète des essais, mais avec une prise en compte uniquement de la rigidité des parois porteuses prévues dans le modèle B. Les masses de la structure sont définies en fonction du stade de construction.
  • Le modèle V2, similaire au V1, mais qui tient compte d’une partie des parois supplémentaires pour la détermination des rigidités. 

Les fréquences propres issues des modèles sont nettement inférieures à celles mesurées puisque, même en tenant compte de parois supplémentaires (modèle V2), les fréquences calculées sont de 50 % inférieures à celles mesurées. Ceci équivaut à une sous-estimation d’un facteur 4 de la rigidité du bâtiment.

Afin de consolider ces résultats, un calcul à l’aide d’un modèle 3D par éléments finis (figures 1, 2, 3, 4, 5, 6) a été effectué, en tenant compte de parois supplémentaires (idem V2). Les résultats obtenus sont a priori plus fiables, car plus proches des valeurs mesurées que ceux du simple modèle d’oscillateur triple. Cela vaut en particulier pour la fréquence du premier mode de vibration qui est alors de 2,56 Hz au lieu de 1,37 Hz. Il n’empêche que les fréquences propres calculées avec le modèle 3D restent nettement inférieures à celles obtenues lors des essais : les rapports entre valeurs mesurée et calculée (1,52 pour le premier mode, 1,64 pour le deuxième et 1,88 pour le troisième) laissent supposer que la structure réelle est sensiblement plus rigide que son modèle.

Comparaisons entre mesures et modèles


Le modèle statique simple (oscillateur multiple) ne fournit qu’une estimation grossière des périodes de vibration fondamentale dans les directions principales. Les possibilités d’intégrer des détails supplémentaires dans le modèle sont limitées, ce qui se traduit par une précision insuffisante des résultats. Toutefois, pour des raisons de coûts, le dimensionnement d’ouvrages multi-étages en bois doit a priori se fonder sur de tels modèles (oscillateur multiple). Il convient cependant de tenir compte de la précision relative des périodes obtenues pour dimensionner la structure. Si les simulations 3D par éléments finis se révèlent plus adaptées à la modélisation de la structure porteuse, elles sont aussi plus coûteuses. Afin de limiter les coûts, il faut introduire des hypothèses simplifiées dans le modèle (par exemple toiture plate plutôt qu’inclinée).

Le nombre de parois prises en compte par le modèle a une grande influence sur les fréquences propres estimées par le modèle. Afin de limiter l’ampleur des calculs, on distinguera les éléments de structure « rigidifiants » et « non rigidifiants » et on ne tiendra compte que des premiers dans les calculs. Cette simplification entraîne toutefois une erreur difficile à quantifier des calculs. 

La rigidité des parois influence aussi notablement les résultats. A défaut de valeurs expérimentales, on est contraint de s’appuyer sur des valeurs normatives pour dimensionner la structure. Alors qu’on dispose de fractiles moyens et inférieurs pour les modules d’élasticité et de cisaillement qui permettent de prendre en compte la variabilité des paramètres dans le modèle, il n’existe que des valeurs moyennes (fixées prudemment) pour la rigidité des assemblages. Avec pour conséquence que la rigidité réelle des parois est supérieure à ce que suppose le calcul.

Utilisation du spectre de dimensionnement


Si on considère la position dans le spectre de dimensionnement de la norme SIA 261 [1] des valeurs minimales des périodes de vibration fondamentale, les résultats obtenus expérimentalement ou avec le modèle 3D se situent sur le plateau du spectre (schéma). En revanche, avec le modèle statique simple, les périodes sont dans la partie descendante du spectre, ce qui conduit à une sous-estimation des forces horizontales retenues et à un dimensionnement trop optimiste de la structure. Ce constat justifie la question de savoir quels éléments doivent être retenus pour le dimensionnement et la rigidité qui doit leur être associée.

Pour les charges dues au vent, la rigidité clairement supérieure des éléments de paroi devrait en revanche être bienvenue, car cela réduit considérablement les déplacements horizontaux. En phase d’exploitation, le bâtiment devrait ainsi afficher un comportement nettement amélioré, car il n’y a pas à craindre une perte de rigidité significative des parois causée par des dommages. 

René Steiger, Glauco Feltrin, Felix Weber et Stella Nerbano travaillent tous quatre au sein du Swiss Federal Laboratories for Materials Science and Technology (Empa), à Dübendorf.
Traduit de l’allemand par Maya Haus.

 

 

Références

[1] Norme SIA 261 (2014), Actions sur les structures porteuses. Société suisse des ingénieurs et des architectes SIA, Zurich.
[2] Roland Brunner et al. (2010), Bâtiments en bois parasismiques de plusieurs étages. Documentation technique, Lignum, Economie suisse du bois, Zurich.
[3] Angela Trinkert (2014), Rütteln für die Wissenschaft. Bauen mit Holz, Heft 1, S. 10-15.  

 

Intervenants

Le projet de recherche 2012.04 « Erdbebenbemessung von Holzbauten - Experimentelle Ermittlung der dynamischen Eigenschaften eines mehrgeschossigen Holzbaus » est soutenu par le Fonds pour les recherches forestières et l’utilisation du bois (Office fédéral de l’environnement, OFEV) et par le Fonds national suisse de la recherche scientifique (FNS) (Programme national de recherche « Ressource bois » (PNR 66), projet 406640-136900). 
En plus de l’Empa, les principaux partenaires sont :
Maître de l’ouvrage : Ferrario Bau AG, 8154 Oberglatt
Architectes : Zindel Brönnimann Ferrario, 8004 Zurich
Ingénieurs : Pirmin Jung Ingenieure für Holzbau AG, 6026 Rain
Constructions en bois : Artho Holz- & Elementbau AG, 8735 St. Gallenkappel

Magazine

Sur ce sujet